FotobusAutobusų transportas

Nuotraukos informacija

399 KB


Nuotraukos identifikatorius:3646841
Bylos dydis:399 KB
Autorius:WEST
Publikuota:14.08.2025 01:30 MSK
Yra tinklapyje dienų:227
Unikalių peržiūrų:103
Komentarų:0

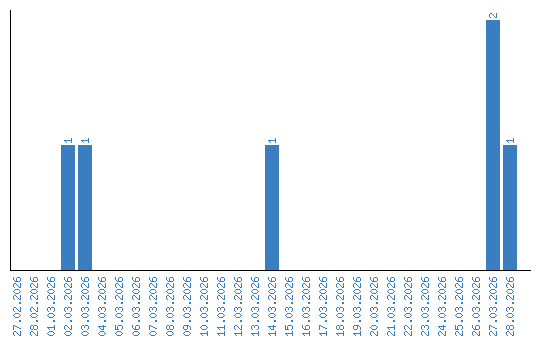
Peržiūrų dinamika pagal dienas