ФотобусАвтобусний транспорт

Статистика по зображенню

299 КБ


Ідентифікатор зображення:3635697
Розмір файлу:299 КБ
Автор:Eurobus
Опубліковано:02.08.2025 01:06 MSK
Знаходиться на сайті, днів:107
Унікальних переглядів:101
Коментарів:0

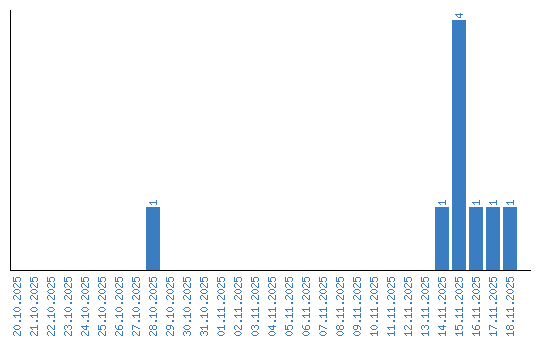
Динаміка переглядів за датами