FotobusAutobusų transportas

Nuotraukos informacija

397 KB


Nuotraukos identifikatorius:3624999
Bylos dydis:397 KB
Autorius:kda1981
Publikuota:22.07.2025 20:54 MSK
Yra tinklapyje dienų:210
Unikalių peržiūrų:202
Komentarų:0

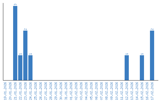
Peržiūrų dinamika pagal dienas