FotobusAutobusų transportas

Nuotraukos informacija

135 KB


Nuotraukos identifikatorius:362384
Bylos dydis:135 KB
Autorius:Alon Dreerman
Publikuota:17.11.2010 21:29 MSK
Yra tinklapyje dienų:5582
Unikalių peržiūrų:605
Komentarų:7

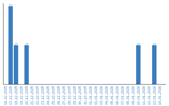
Peržiūrų dinamika pagal dienas