ФотобусАвтобусный транспорт

Информация об изображении

329 КБ


Идентификатор изображения:3616701
Размер файла:329 КБ
Автор:olegp
Опубликовано:12.07.2025 21:40 MSK
Находится на сайте, дней:251
Уникальных просмотров:154
Комментариев:0

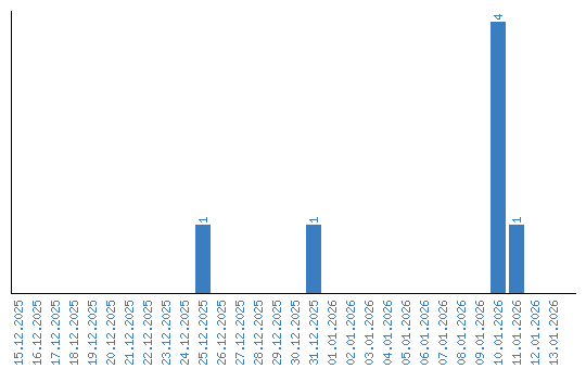
Динамика просмотров по датам