ФотобусАвтобусний транспорт

Статистика по зображенню

418 КБ


Ідентифікатор зображення:3609840
Розмір файлу:418 КБ
Автор:olegp
Опубліковано:02.07.2025 20:30 MSK
Знаходиться на сайті, днів:98
Унікальних переглядів:83
Коментарів:0

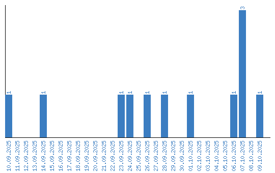
Динаміка переглядів за датами