ФотобусАвтобусный транспорт

Информация об изображении

761 КБ


Идентификатор изображения:3608771
Размер файла:761 КБ
Автор:AltairZulp
Опубликовано:01.07.2025 12:09 MSK
Находится на сайте, дней:258
Уникальных просмотров:284
Комментариев:0

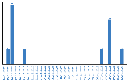
Динамика просмотров по датам