ФотобусАвтобусный транспорт

Информация об изображении

211 КБ


Идентификатор изображения:358501
Размер файла:211 КБ
Автор:aRa
Опубликовано:09.11.2010 12:16 MSK
Находится на сайте, дней:5448
Уникальных просмотров:374
Комментариев:0

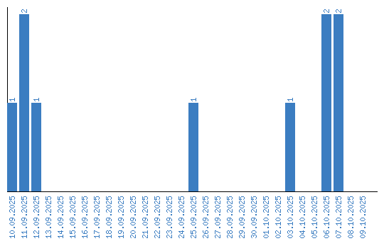
Динамика просмотров по датам