ФотобусАвтобусний транспорт

Статистика по зображенню

3362 КБ


Ідентифікатор зображення:3583060
Розмір файлу:3362 КБ
Автор:АН 6034-3
Опубліковано:28.05.2025 17:24 MSK
Знаходиться на сайті, днів:146
Унікальних переглядів:133
Коментарів:0

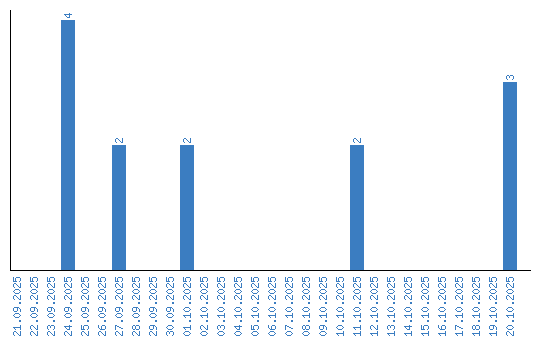
Динаміка переглядів за датами