FotobusAutobusų transportas

Nuotraukos informacija

615 KB


Nuotraukos identifikatorius:3582111
Bylos dydis:615 KB
Autorius:никита королёв
Publikuota:27.05.2025 14:47 MSK
Yra tinklapyje dienų:167
Unikalių peržiūrų:120
Komentarų:0

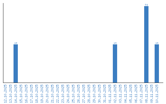
Peržiūrų dinamika pagal dienas