ФотобусАвтобусный транспорт

Информация об изображении

698 КБ


Идентификатор изображения:3567205
Размер файла:698 КБ
Автор:Zafhus
Опубликовано:08.05.2025 23:56 MSK
Находится на сайте, дней:367
Уникальных просмотров:168
Комментариев:0

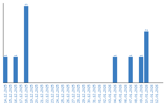
Динамика просмотров по датам