FotobusBusverkehr

Bildinformationen

531 KB


Foto-ID:3567104
Dateigröße:531 KB
Aufgenommen von:olegp
Veröffentlicht am:08.05.2025 21:53 MSK
Tage seit Veröffentlichung:278
Aufrufe:149
Kommentare:0

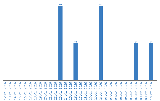
Aufrufestatistik (Tage)