ФотобусАвтобусный транспорт

Информация об изображении

6509 КБ


Идентификатор изображения:3550288
Размер файла:6509 КБ
Автор:Ikarus180
Опубликовано:17.04.2025 23:50 MSK
Находится на сайте, дней:354
Уникальных просмотров:234
Комментариев:0

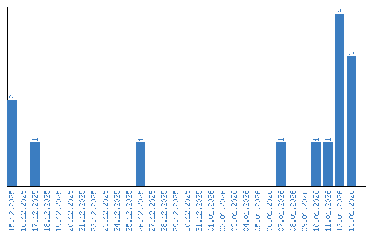
Динамика просмотров по датам