ФотобусАвтобусный транспорт

Информация об изображении

204 КБ


Идентификатор изображения:354012
Размер файла:204 КБ
Автор:JenCh012
Опубликовано:28.10.2010 21:06 MSK
Находится на сайте, дней:5587
Уникальных просмотров:443
Комментариев:0

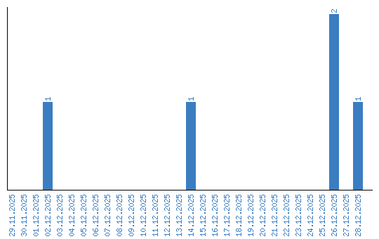
Динамика просмотров по датам