FotobusAutobusová doprava

Statistika obrázku

685 kB


Identifikátor obrázku:3539959
Velikost souboru:685 kB
Autor:Владислав Захаров
Zveřejněno:04.04.2025 12:58 MSK
Nachází se na stránkách (dní):285
Jednotlivých zhlédnutí:194
Komentářů:0

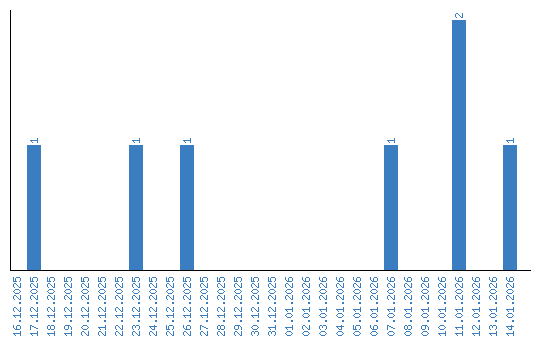
Zhlédnutí po jednotlivých dnech