ФотобусАвтобусный транспорт

Информация об изображении

230 КБ


Идентификатор изображения:35182
Размер файла:230 КБ
Автор:DM
Опубликовано:29.07.2008 23:31 MSK
Находится на сайте, дней:6443
Уникальных просмотров:1012
Комментариев:8

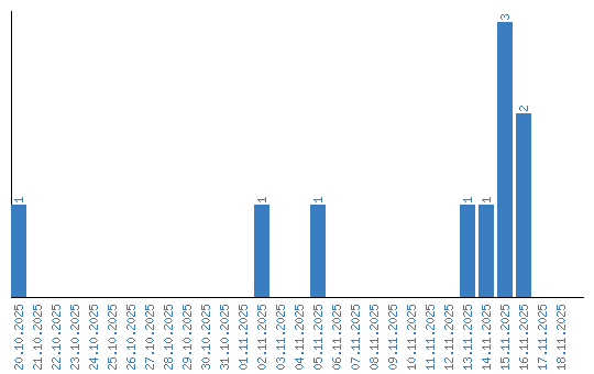
Динамика просмотров по датам