ФотобусАвтобусный транспорт

Информация об изображении

417 КБ


Идентификатор изображения:3517524
Размер файла:417 КБ
Автор:Сергей Nemtsev
Опубликовано:03.03.2025 02:37 MSK
Находится на сайте, дней:341
Уникальных просмотров:234
Комментариев:0

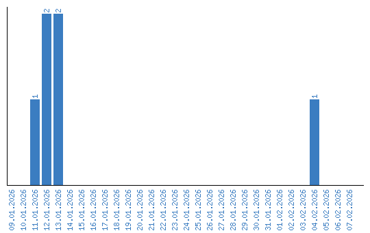
Динамика просмотров по датам