ФотобусАвтобусный транспорт

Информация об изображении

1900 КБ


Идентификатор изображения:3517461
Размер файла:1900 КБ
Автор:Eldar405
Опубликовано:02.03.2025 23:11 MSK
Находится на сайте, дней:321
Уникальных просмотров:248
Комментариев:0

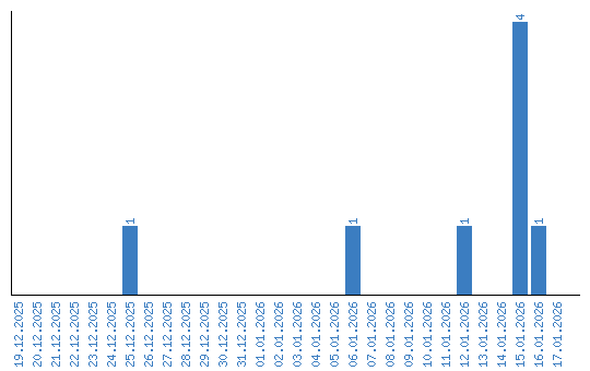
Динамика просмотров по датам