FotobusTransport autobusowy

Informacja o zdjęciu

4309 kB


Identyfikator zdjęcia:3508345
Rozmiar pliku:4309 kB
Autor:BVV
Opublikowano:20.02.2025 02:12 MSK
Znajduje się na stronę, dni:361
Odsłon:239
Komentarzy:0

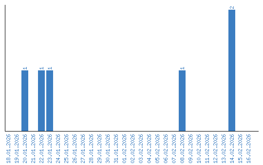
Liczba oglądających wg dat