FotobusAutobusa transports

Informācija par attēli

623 KB


Attēla identifikātors:3487855
Faila lielums:623 KB
Autors:Rai
Ir publicēts:24.01.2025 15:19 MSK
Atrodas vietnē, dienās:443
Unikāli skatījumi:299
Komentārus:0

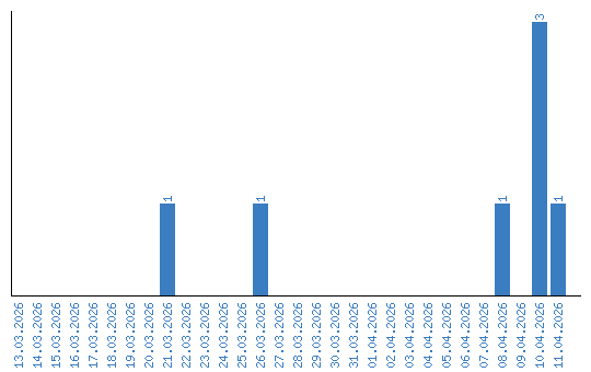
Dinamika skatišana pēc datuma