FotobusAutobusų transportas

Nuotraukos informacija

329 KB


Nuotraukos identifikatorius:3487733
Bylos dydis:329 KB
Autorius:straightcelle
Publikuota:24.01.2025 12:54 MSK
Yra tinklapyje dienų:364
Unikalių peržiūrų:223
Komentarų:0

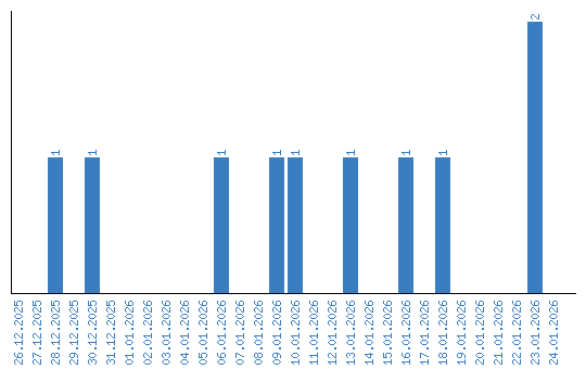
Peržiūrų dinamika pagal dienas