ФотобусАвтобусный транспорт

Информация об изображении

501 КБ


Идентификатор изображения:3479244
Размер файла:501 КБ
Автор:Kolyan22rus
Опубликовано:10.01.2025 22:43 MSK
Находится на сайте, дней:434
Уникальных просмотров:281
Комментариев:0

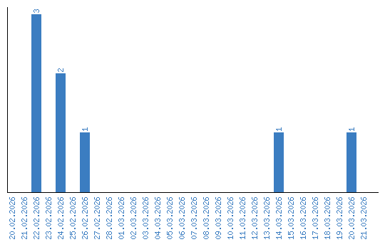
Динамика просмотров по датам