ФотобусАвтобусный транспорт

Информация об изображении

458 КБ


Идентификатор изображения:3468341
Размер файла:458 КБ
Автор:Dima Vart
Опубликовано:24.12.2024 19:01 MSK
Находится на сайте, дней:288
Уникальных просмотров:237
Комментариев:0

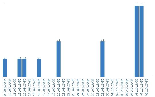
Динамика просмотров по датам