ФотобусАвтобусний транспорт

Статистика по зображенню

560 КБ


Ідентифікатор зображення:3450259
Розмір файлу:560 КБ
Автор:ESDI
Опубліковано:26.11.2024 17:16 MSK
Знаходиться на сайті, днів:331
Унікальних переглядів:246
Коментарів:0

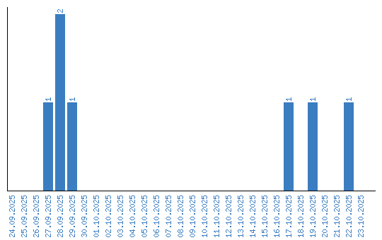
Динаміка переглядів за датами