FotobusBusverkehr

Bildinformationen

749 KB


Foto-ID:3448243
Dateigröße:749 KB
Aufgenommen von:monochrome
Veröffentlicht am:23.11.2024 06:30 MSK
Tage seit Veröffentlichung:340
Aufrufe:228
Kommentare:0

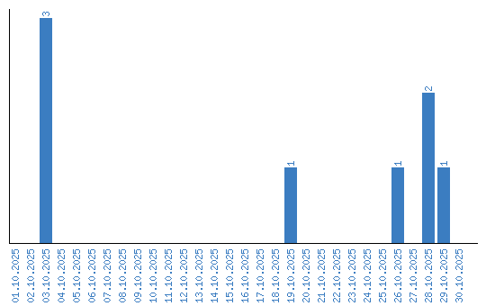
Aufrufestatistik (Tage)