ФотобусАвтобустар галереясы

Информация об изображении

175 КБ


Идентификатор изображения:343457
Размер файла:175 КБ
Автор:yR29ik
Опубликовано:10.10.2010 12:19 MSK
Находится на сайте, дней:5514
Уникальных просмотров:1593
Комментариев:14

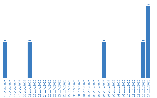
Динамика просмотров по датам