FotobusΜεταφορά με λεωφορείο

Picture Statistics

393 KB


Picture ID:3429053
File Size:393 KB
Συγγραφέας:Tomas798
Publication Date:28.10.2024 15:39 MSK
Days in Database:499
Unique views:240
Comments:0

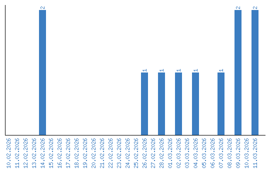
Viewing statistics by date