ФотобусАвтобусный транспорт

Информация об изображении

312 КБ


Идентификатор изображения:3426619
Размер файла:312 КБ
Автор:Bimbula
Опубликовано:24.10.2024 22:18 MSK
Находится на сайте, дней:434
Уникальных просмотров:402
Комментариев:0

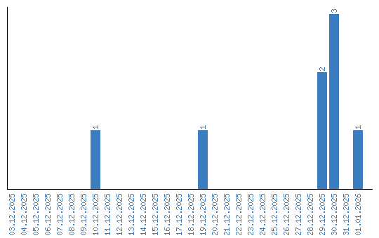
Динамика просмотров по датам