ФотобусАвтобусный транспорт

Информация об изображении

673 КБ


Идентификатор изображения:3425633
Размер файла:673 КБ
Автор:ижевец
Опубликовано:23.10.2024 18:19 MSK
Находится на сайте, дней:471
Уникальных просмотров:378
Комментариев:0

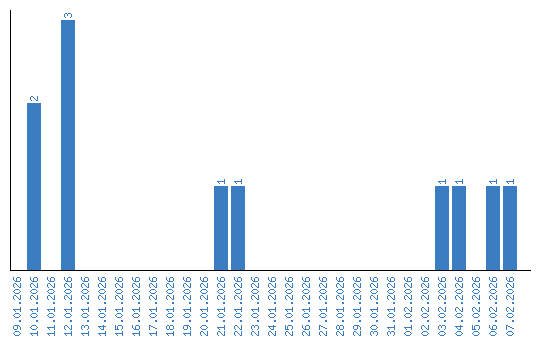
Динамика просмотров по датам