ФотобусАвтобусный транспорт

Информация об изображении

684 КБ


Идентификатор изображения:3423386
Размер файла:684 КБ
Автор:MAXMASTER
Опубликовано:19.10.2024 23:23 MSK
Находится на сайте, дней:514
Уникальных просмотров:371
Комментариев:0

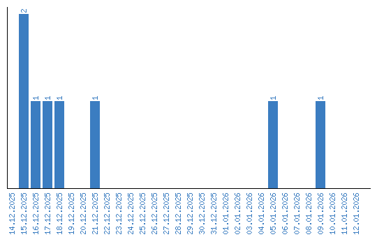
Динамика просмотров по датам