ФотобусАвтобусный транспорт

Информация об изображении

380 КБ


Идентификатор изображения:3413525
Размер файла:380 КБ
Автор:vetal-76
Опубликовано:08.10.2024 00:02 MSK
Находится на сайте, дней:545
Уникальных просмотров:233
Комментариев:0

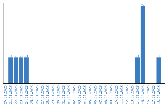
Динамика просмотров по датам