ФотобусАвтобусный транспорт

Информация об изображении

689 КБ


Идентификатор изображения:3410331
Размер файла:689 КБ
Автор:Rai
Опубликовано:04.10.2024 12:26 MSK
Находится на сайте, дней:553
Уникальных просмотров:377
Комментариев:0

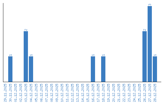
Динамика просмотров по датам