ФотобусАвтобусный транспорт

Информация об изображении

654 КБ


Идентификатор изображения:3409359
Размер файла:654 КБ
Автор:ижевец
Опубликовано:02.10.2024 21:39 MSK
Находится на сайте, дней:471
Уникальных просмотров:349
Комментариев:0

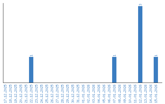
Динамика просмотров по датам