ФотобусАвтобусный транспорт

Информация об изображении

516 КБ


Идентификатор изображения:3401256
Размер файла:516 КБ
Автор:Dvizzzok
Опубликовано:21.09.2024 23:47 MSK
Находится на сайте, дней:532
Уникальных просмотров:680
Комментариев:1

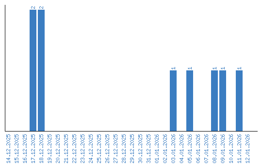
Динамика просмотров по датам