ФотобусАвтобусный транспорт

Информация об изображении

605 КБ


Идентификатор изображения:3398174
Размер файла:605 КБ
Автор:NP
Опубликовано:17.09.2024 19:17 MSK
Находится на сайте, дней:415
Уникальных просмотров:297
Комментариев:0

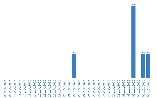
Динамика просмотров по датам