FotobusΜεταφορά με λεωφορείο

Picture Statistics

208 KB


Picture ID:339628
File Size:208 KB
Συγγραφέας:Avtobysnik
Publication Date:04.10.2010 15:11 MSK
Days in Database:5553
Unique views:211
Comments:0

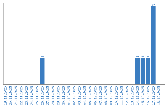
Viewing statistics by date