ФотабусАўтобусны транспарт

Iнфармацыя аб малюнку

974 КБ


Ідэнтыфікатар малюнка:3385180
Памер файла:974 КБ
Аўтар:monochrome
Апублікавана:31.08.2024 09:35 MSK
Знаходзіцца на сайце, дзён:474
Унікальных праглядаў:151
Каментарыяў:0

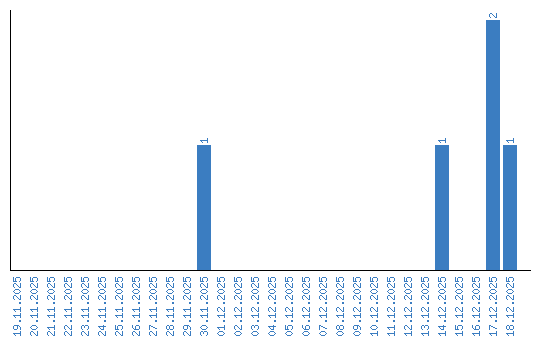
Дынаміка праглядаў па датах