FotobusAutobusų transportas

Nuotraukos informacija

279 KB


Nuotraukos identifikatorius:3382611
Bylos dydis:279 KB
Autorius:САНЁК 76 RUS
Publikuota:27.08.2024 23:46 MSK
Yra tinklapyje dienų:450
Unikalių peržiūrų:177
Komentarų:0

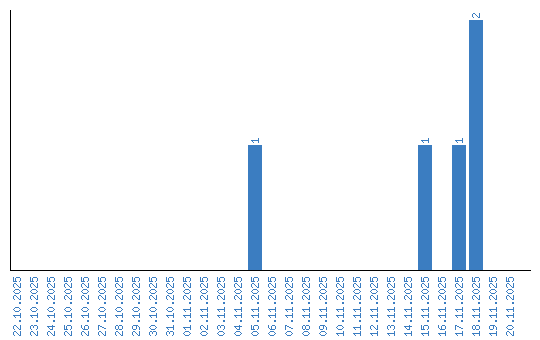
Peržiūrų dinamika pagal dienas