ФотобусАвтобусный транспорт

Информация об изображении

196 КБ


Идентификатор изображения:338167
Размер файла:196 КБ
Автор:Archi
Опубликовано:02.10.2010 13:19 MSK
Находится на сайте, дней:5624
Уникальных просмотров:288
Комментариев:0

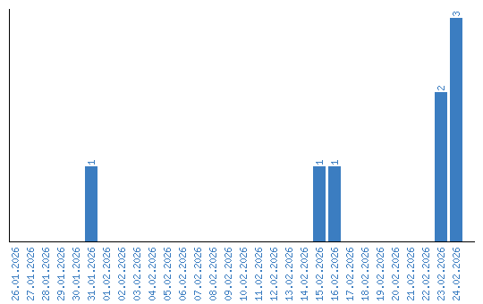
Динамика просмотров по датам