FotobusΜεταφορά με λεωφορείο

Picture Statistics

197 KB


Picture ID:337982
File Size:197 KB
Συγγραφέας:Джесси
Publication Date:02.10.2010 12:05 MSK
Days in Database:5524
Unique views:234
Comments:0

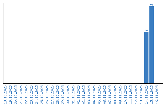
Viewing statistics by date