ФотобусАвтобусный транспорт

Информация об изображении

562 КБ


Идентификатор изображения:3377466
Размер файла:562 КБ
Автор:flash
Опубликовано:21.08.2024 02:01 MSK
Находится на сайте, дней:575
Уникальных просмотров:213
Комментариев:0

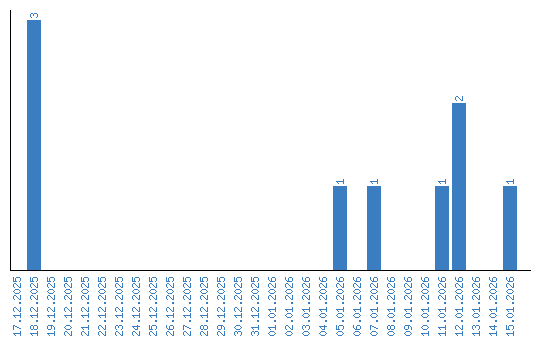
Динамика просмотров по датам