ФотобусАвтобусный транспорт

Информация об изображении

539 КБ


Идентификатор изображения:3367249
Размер файла:539 КБ
Автор:Cедой
Опубликовано:07.08.2024 10:06 MSK
Находится на сайте, дней:529
Уникальных просмотров:188
Комментариев:0

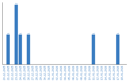
Динамика просмотров по датам