FotobusAutobusų transportas

Nuotraukos informacija

697 KB


Nuotraukos identifikatorius:3361511
Bylos dydis:697 KB
Autorius:Alenov
Publikuota:30.07.2024 13:26 MSK
Yra tinklapyje dienų:533
Unikalių peržiūrų:179
Komentarų:0

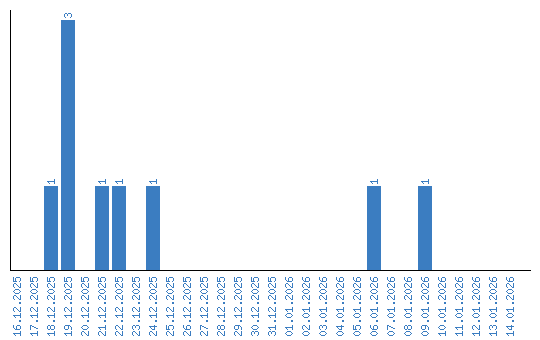
Peržiūrų dinamika pagal dienas