ФотобусАвтобусный транспорт

Информация об изображении

697 КБ


Идентификатор изображения:3360615
Размер файла:697 КБ
Автор:robcar
Опубликовано:29.07.2024 00:53 MSK
Находится на сайте, дней:584
Уникальных просмотров:240
Комментариев:0

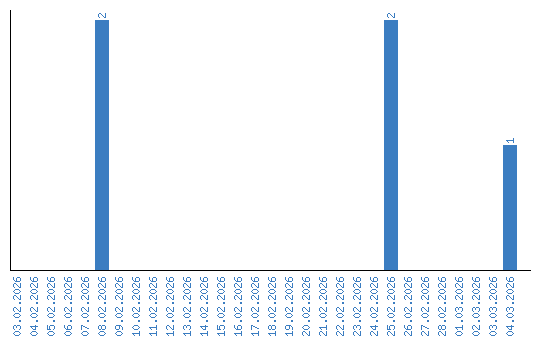
Динамика просмотров по датам