ФотабусАўтобусны транспарт

Iнфармацыя аб малюнку

447 КБ


Ідэнтыфікатар малюнка:3359393
Памер файла:447 КБ
Аўтар:kda1981
Апублікавана:27.07.2024 21:50 MSK
Знаходзіцца на сайце, дзён:464
Унікальных праглядаў:294
Каментарыяў:0

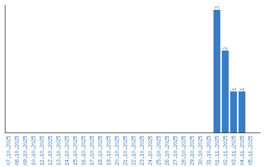
Дынаміка праглядаў па датах