FotobusAutobusų transportas

Nuotraukos informacija

676 KB


Nuotraukos identifikatorius:3350736
Bylos dydis:676 KB
Autorius:Клауд
Publikuota:18.07.2024 11:50 MSK
Yra tinklapyje dienų:588
Unikalių peržiūrų:551
Komentarų:0

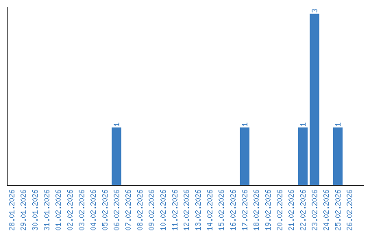
Peržiūrų dinamika pagal dienas