ФотобусАвтобусный транспорт

Информация об изображении

587 КБ


Идентификатор изображения:3350477
Размер файла:587 КБ
Автор:A G
Опубликовано:18.07.2024 00:47 MSK
Находится на сайте, дней:636
Уникальных просмотров:369
Комментариев:0

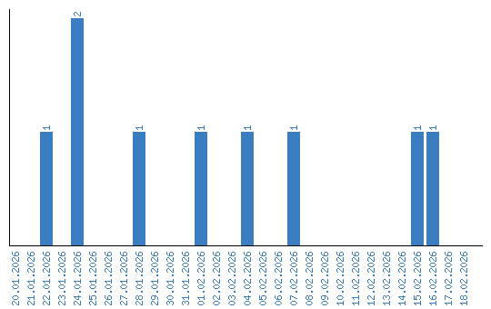
Динамика просмотров по датам