ФотобусАвтобусный транспорт

Информация об изображении

571 КБ


Идентификатор изображения:3350456
Размер файла:571 КБ
Автор:Nikola2000
Опубликовано:18.07.2024 00:31 MSK
Находится на сайте, дней:664
Уникальных просмотров:168
Комментариев:0

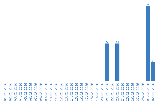
Динамика просмотров по датам