ФотобусАвтобусный транспорт

Информация об изображении

534 КБ


Идентификатор изображения:3347058
Размер файла:534 КБ
Автор:Tomas798
Опубликовано:13.07.2024 23:49 MSK
Находится на сайте, дней:602
Уникальных просмотров:431
Комментариев:0

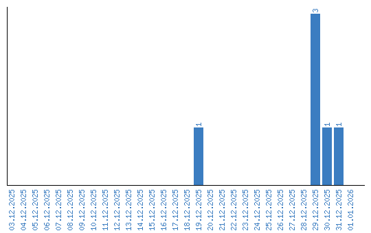
Динамика просмотров по датам