ФотобусАвтобусний транспорт

Статистика по зображенню

863 КБ


Ідентифікатор зображення:3346669
Розмір файлу:863 КБ
Автор:monochrome
Опубліковано:13.07.2024 18:03 MSK
Знаходиться на сайті, днів:638
Унікальних переглядів:183
Коментарів:0

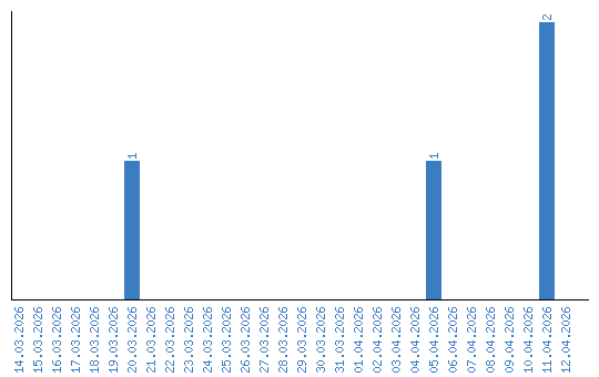
Динаміка переглядів за датами